Sucres et mortalité : une courbe de risque en U observée dans deux cohortes suédoises

Sucres et mortalité : une courbe de risque en U observée dans deux cohortes suédoises

En nutrition comme dans de nombreux domaines, les comportements extrêmes (ceux se trouvant aux extrêmes des courbes de distribution) se révèlent souvent plus à risque.

Une nouvelle étude vient conforter cette observation en analysant le risque de mortalité au regard de la variabilité des apports en sucres et mettant en évidence un effet délétère de l’excès comme du déficit.

Les données utilisées sont issues de deux cohortes suédoises (MDCS* et NSHDS**) réunissant près de 50 000 adultes suivis pendant 20 ans.

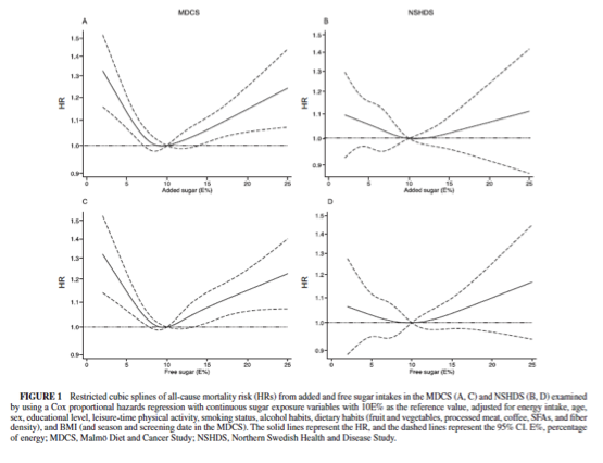
Apports en sucres et mortalité

Premier constat : que l’on considère les sucres libres ou les sucres ajoutés, le risque de mortalité, toutes causes confondues, s’avérait minimal pour des apports compris entre 7,5 % et 10 % de l’apport énergétique total (AET) dans les deux cohortes.

Le risque de mortalité était significativement accru, de 30 % environ, pour des apports en sucres ajoutés supérieurs à 20 % de l’AET dans les deux cohortes ; de même pour les apports en sucres libres, mais seulement dans la cohorte MDCS.

En outre, dans la cohorte MDCS, le risque de mortalité se révélait également augmenté, de 20 % environ, pour des apports en sucres libres ou ajoutés inférieurs à 5 % de l’AET, et ce malgré un mode de vie généralement plus favorable des sujets présentant des apports faibles en sucres.

Ainsi, le risque mortalité en fonction des apports en sucres décrivait une courbe en U, traduisant des risques accrus pour des apports trop élevés mais aussi trop faibles (Figure 1).

Figure 1 : Risque de mortalité, toutes causes confondues, en fonction des apports en sucres ajoutés et en sucres libres dans deux cohortes suédoises.

Des tendances similaires pour des causes spécifiques de mortalité

Les auteurs ont ensuite examiné les relations précédentes en fonction des causes spécifiques de décès au sein de la cohorte MDCS. Ils ont alors constaté des augmentations du risque de mortalité cardiovasculaire pour des apports en sucres supérieurs à 20 % de l’AET : risque accru de 40 % pour les sucres ajoutés, et de 30 % pour les sucres libres.

Le risque s’avérait également augmenté, de 20 % à 25 %, pour des apports en sucres inférieurs à 5 % de l’AET. La mortalité par cancer se révélait quant à elle augmentée seulement pour les individus présentant des apports en sucres ajoutés inférieurs à 5 % de l’AET.

Au total, le risque de mortalité minimal, observé entre 7,5 % et 10 % de l’AET pour les sucres libres ou ajoutés, va dans le sens des recommandations de santé préconisant des apports en sucres inférieurs à 10 % de l’AET, comme celles de l’OMS ou des pays nordiques.

Ces résultats questionnent néanmoins sur la recommandation additionnelle de 5 % de sucres libres également proposée par l’OMS pour des bénéfices santé supplémentaires (diminution du risque de caries dentaires).

Des aliments plus particulièrement en cause ?

Cette étude a ensuite analysé ces associations à la lumière des différents types d’aliments riches en sucres. Résultats ?

Une consommation de plus de huit boissons sucrées (sodas, boissons à base de fruits hors jus de fruits 100 % pur jus) par semaine augmentait le risque de mortalité de 14 %, tandis que la consommation de friandises (pâtisseries, bonbons, chocolat, glace) était associée à une diminution du risque de 15 à 20 % même chez les plus forts consommateurs (> 14 fois par semaine).

Selon les auteurs, cette dernière association est toutefois à interpréter avec prudence car elle pourrait refléter un moins bon état de santé général chez les petits consommateurs de ces produits, les évitant pour des raisons de santé.

Quant aux aliments utilisés comme produits sucrants (sucre en poudre, en morceaux, miel, confiture), leur consommation n’était pas associée à la mortalité.

breves-nutrition-75
Télécharger les Brèves nutrition n°75

Télécharger

A retenir

  • Chez deux populations suédoises suivies pendant 20 ans, le risque de mortalité le plus faible est observé pour des apports en sucres libres ou en sucres ajoutés compris entre 7,5 et 10 % de l’apport énergétique total (AET).
  • Le risque de mortalité augmente non seulement pour des apports en sucres libres ou en sucres ajoutés supérieurs à 20 % de l’AET, mais aussi pour des apports inférieurs à 5 % de l’AET.
  • Ces résultats vont dans le sens des recommandations de l’OMS préconisant des apports en sucres libres inférieurs à 10 % de l’AET mais peuvent remettre en question la recommandation additionnelle de 5 %.

Sources

  • Source : Association between added sugar intake and mortality is nonlinear and dependent on sugar source in 2 Swedish population–based prospective cohorts. Stina Ramne, Joana Alves Dias, Esther González-Padilla, Kjell Olsson, Bernt Lindahl, Gunnar Engström, Ulrika Ericson, Ingegerd Johansson, and Emily Sonestedt. Am J Clin Nutr. 2018 Dec 26.
  • *Malmö Diet and Cancer Study
  • **Northern Swedish Health and Disease Study
×
Nous récoltons vos données
Nous stockons et accédons à des informations non sensibles sur votre appareil, comme des cookies ou l'identifiant unique de votre appareil, et traitons vos données à caractère personnel comme votre adresse IP ou un identifiant cookie, pour des traitements de données comme la mesure du nombre de visiteurs. Ces informations seront conservées 6 mois à des fins statistiques. Vous pouvez faire un choix ici et modifier vos préférences à tout moment sur notre page concernant les cookies accessibles depuis toutes les pages de ce site web. Aucun cookie ne sera déposé si vous décidez de remettre votre choix à plus tard.
Tout accepter Tout refuser
×
Paramétrer les cookies
Nous déposons des cookies et utilisons des informations non sensibles de votre appareil pour améliorer nos produits. Vous pouvez accepter ou refuser ces différentes opérations. Pour en savoir plus sur les cookies, les données que nous utilisons, les traitements que nous réalisons, vous pouvez consulter notre politique de confidentialité.
Cookies de fonctionnement
Garantissent le bon fonctionnement du site et permettent de mettre en œuvre les mesures de sécurité.

Durée de conservation : 6 mois

Liste des responsables : Cultures Sucre

Liste des destinataires : Cultures Sucre

Toujours actifs
Cookies de mesure d'audience
Cookies permettant d'obtenir les statistiques de fréquentation du site (nombre de visites, pages les plus visitées, …).

Durée de conservation : 6 mois

Liste des responsables : Cultures Sucre

Liste des destinataires : Cultures Sucre